- 關于塑料螺絲 ,你真的了解嗎 2023-07-14
- 緊固件基礎知識FAQ(四)| 你一定要了解的8個緊固件基本常識 2023-07-03
- 法士威2023年第二季度工作總結Party圓滿落下帷幕 2023-07-01
- 法士威2023第一季度工作總結 part,圓滿收官 2023-04-02
深圳市法士威精密零件有限公司
文章出處:螺絲百科 網責任編輯: 法士威精密零件 閱讀量: 發表時間:2024-12-13
螺栓在振動環境經常出現疲勞斷裂,疲勞斷裂一般都是螺栓松動軸向力下降后,殘余預緊力不夠造成的。螺栓的疲勞松弛或者疲勞斷裂與交變應力有關, 應力幅是影響預緊螺栓聯接副疲勞性能的主要因素之一。
試驗結果表明,受軸向模擬載荷的預緊螺栓聯接副,在最小應力不變的條件下,應力幅越小,則連接副越不易發生疲勞破壞。今天,法士威就從螺紋連接幅受力分析出發,根據螺栓與墊板受力和變形協調圖,來分析影響應力幅的因素,找出避免螺栓疲勞的途徑,同時給出螺栓應力幅計算和疲勞極限的校核方式。
01 螺紋聯接副受力與變形協調關系


圖1 a)、b)、c)示出了螺栓的三種線彈性受力狀態。QP 和 λp 是預緊力時對應的螺栓變形伸長量,λm 為 QP 下的墊板壓縮量,F為軸向試驗載荷。
當施加F后,螺栓的受力從原來的 QP 增至 Q,對應的變形增量為Δλ,于是螺栓受拉時,原來被壓縮的墊板,因螺栓伸長而被放松,其壓縮變形量也隨之減小到λ'm,此時墊板壓縮力由QP減至Q'P,Q'P為殘余預緊力。根據材料力學的變形協調條件,墊板壓縮變形的減小量 λm -λ'm 應等于Δλ,因而在殘余預緊力Q'P下墊板的壓縮總量λ'm = λm-Δλ。顯然螺栓的受力Q=Q'P+F。
為直觀地表達上述分析,圖2以幾何方式示出了螺栓與墊板的受力和變形協調關系。螺栓拉伸變形由坐標原點OV向右量起,墊板壓縮變形由坐標原點Om向左量起。螺栓剛度Cb= tgθV,墊板剛度Cm= tgθm。由圖可見下面四個等式成立:

02 應力幅的影響因素分析
從受力與變形協調關系圖中可以看出,當連接副所受的試驗載荷在0~F之間變化時,則螺栓的總拉力將在QP~Q之間變化。由(6)式可知,在保持預緊力 QP 不變的條件下,減小螺栓剛度Cb或增大墊板剛度Cm均可達到減小總拉力Q的變化范圍的目的。
另外,試驗結果表明,適當選用較大的預緊力對螺栓聯接副疲勞性能是有利的。由(5)式可知,當QP較大時,可以保證聯接副有足夠的殘余預緊力Q'P。
圖3、圖4及圖5分別示出了單獨降低螺栓剛度Cb,單獨增大墊板剛度Cm及同時降低Cb,增大Cm和增大QP時,螺栓的載荷變化情況??梢姡@些措施均可減小螺栓的應力幅,特別是圖5措施下可使應力幅有較大的減小,從而可以提高預緊螺栓聯接副抗疲勞破壞的能力。



03 避免螺栓疲勞的途徑
1、預緊螺栓在軸向疲勞過程中,承受的總拉力并不是預緊力和軸向力之和,而是殘余預緊力Q'P與軸向力F之和。
2、增大墊板剛度,降低螺栓剛度,同時適當增加預緊力,能減小預緊螺栓軸向疲勞過程的應力幅,從而提高預緊螺栓聯接副抗疲勞破壞的能力。
3、保證足夠的殘余預緊力是預緊螺栓聯接副服役過程不發生失效破壞的必要條件。高應力區的試驗結果表明:當試驗機模擬的外載荷大于螺栓靜強度的70%,殘余預緊力為零時,預緊螺栓聯接副在104周次數量級即失效破壞。
04 螺栓應力幅計算和疲勞極限
4.1 應力幅計算
額外增加在螺栓上的載荷ΔF在VDI 2230中的稱為軸向增加的螺栓載荷FSA,VDI 2230的極大篇幅就是求解不同夾緊方式和受力狀況下的FSA 。額外增加在螺栓上的載荷ΔF或者FSA除以螺栓的應力面積即得到螺栓的應力變化范圍,再除以2即得到應力幅:

AS為螺栓的應力面積;σa為螺栓上的交變應力幅。
外部的交變工作載荷,不管是軸向的外載荷還是彎矩,都會讓預緊的螺栓產生交變應力變化。上面的公式是理論公式,在實踐中的螺栓連接分析中,FSA的獲得可依據夾緊方式和受力狀況按照VDI 2230的指導進行計算或者通過CAE輔助分析得到。
4.2 螺栓疲勞極限
4.2.1 對于螺栓的疲勞極限,可以通過試驗的方式,得到S-N曲線,如圖6所示。當螺栓的應力幅小于螺栓的疲勞極限時,將永遠不會發生疲勞失效。

4.2.2 VDI 2230給出了應力幅計算公式,在交變循環次數ND≥2*104與橫截面積相關的高強度螺栓的疲勞極限參考值:
螺栓先搓絲后熱處理的疲勞應力σASV極限用表示:

螺栓先熱處理后搓絲的疲勞應力σASG極限用表示:

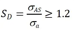
交變應力的安全系數

式中σAS是相對于AS,螺栓疲勞極限的應力幅,根據螺栓的生產工藝過程選擇σASV還是σASG,σa根據夾緊方式和受力狀況分別代入σa或者σab。σab是偏心夾緊和負載下作用在螺栓上的持續交變應力。
如果僅有幾千個交變循環(NZ>104)并且應力幅度大于工作中出現的疲勞極限,可以用下面的兩個公式計算這些交變疲勞極限:
螺栓先搓絲后熱處理的疲勞應力σAZSV極限用表示:

螺栓先熱處理后搓絲的疲勞應力σAZSG極限用表示:
